Определение массовой доли свободного хлора
Метод основан на реакции окисления метилового оранжевого хлором:
![]() |
В результате окисления метилового оранжевого окраска его растворов становится менее интенсивной. Интенсивность окраски зависит от порядка смешивания растворов, поэтому анализируемую соляную кислоту добавляют последней при перемешивании. Метод отличается избирательностью, железо (III) мешает определению. Диапазон измерения 5·10-4 - 8·10-3 %.
Аппаратура, реактивы и растворы:
- колориметр фотоэлектрический лабораторный КФК или другого типа, обеспечивающий заданную чувствительность и точность;
- колбы мерные 2-25, 1000 по ГОСТ 1770;
- пипетки 1,5-1,2 по ГОСТ 29169;
- кислота соляная по ГОСТ 3118, х.ч., раствор (1:2);
- метиловый оранжевый (индикатор), раствор концентрации 0,1 г/дм3, готовят следующим образом: 0,1 г метилового оранжевого переносят в мерную колбу вместимостью 1000 см3, доводят объем раствора водой до метки и перемешивают. Результаты взвешивания записывают с точностью до второго десятичного знака.
Приготовление градуировочных растворов и градуировка фотоэлектроколориметра
В мерные колбы вместимостью 25 см3 вводят 15 см3 воды, пипеткой прибавляют 2,0; 1,6; 1,2; 0,8; 0,4 см3 раствора метилового оранжевого, что соответствует 0; 10; 20; 30; 40 мкг хлора, добавляют по 1 см3 раствора соляной кислоты, доводят объем раствора водой до метки и перемешивают.
Оптическую плотность полученных растворов измеряют на фотоэлектроколори-метре при толщине поглощающего свет слоя раствора 10 мм и при длине волны 490-505 нм. Раствор сравнения - дистиллированная вода.
По полученным данным строят градуировочной график, откладывая на оси абсцисс массу хлора в микрограммах, на оси ординат - соответствующее значение оптических плотностей.
Градуировочный график проверяют один раз в квартал, а также при замене реактивов или приборов.
Градуировку прибора допускается проводить по методу наименьших квадратов.
Проведение анализа
В мерную колбу вместимостью 25 см3 помещают 15 см3 дистиллированной воды, энергично перемешивая, пипеткой вводят 2 см3 раствора метилового оранжевого, (0,5-2) см3 анализируемой соляной кислоты, доводят объем раствора водой до метки и перемешивают. Оптическую плотность полученного раствора измеряют на фотоэлектроколориметре при толщине поглощающего свет слоя раствора 10 мм и длине волны 490-505 нм. Раствор сравнения - дистиллированная вода.
Массу хлора в микрограммах в кислоте находят по градуировочному графику. Обработка результатов
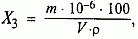
Массовую долю свободного хлора Х3
, %, вычисляют по формуле:
(5.6)
где m- масса хлора в анализируемой соляной кислоте, найденная по градуировочному графику, мкт;
V
- объем соляной кислоты, взятый для выполнения анализа, см3;
p
- плотность анализируемой соляной кислоты, г/см3.
